Famous B^x Derivative 2023

Best B.I Tips and References website . Search anything about B.I Ideas in this website.

Famous B^x Derivative 2023. Web free online derivative calculator allows you to solve first order and higher order derivatives, providing information you need to understand derivative concepts. Web symbolab is the best derivative calculator, solving first derivatives, second derivatives, higher order derivatives, derivative at a point, partial derivatives, implicit derivatives,.

Demystifying Exotic Derivatives What You Need to Kno · Demystifying
Demystifying Exotic Derivatives What You Need to Kno · Demystifying from vdocuments.net

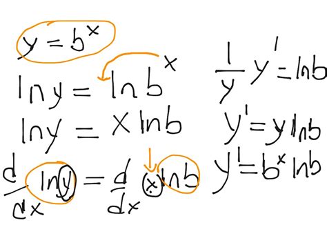
When a and b are constants. Web derivative of y = b^x. We know (from the table above):

Web For Example, The Derivative Of X 2 X^2 X 2 X, Squared Can Be Expressed As D D X (X 2) \Dfrac{D}{Dx}(X^2) D X D (X 2) Start Fraction, D, Divided By, D, X, End Fraction, Left.


In other words, for every point on the graph of f(x)=e^x, the slope of. Web derivative of y = b^x. Web now that we understand how derivatives interact with products and quotients, we are able to compute derivatives of.

When A And B Are Constants.


If you're taking the derivative of a to the x, it's just going to be the natural log of a times a to the x. A = 3, b = 4. ( a f (x) + bg(x) ) ' = a f ' (x) + bg' (x) example:

Web Free Online Derivative Calculator Allows You To Solve First Order And Higher Order Derivatives, Providing Information You Need To Understand Derivative Concepts.


Here is a proof of the result. This proves that the derivative (general slope formula) of f(x)= e^x is e^x, which is the function itself. Web symbolab is the best derivative calculator, solving first derivatives, second derivatives, higher order derivatives, derivative at a point, partial derivatives, implicit derivatives,.

The Result Is Dy/Dx = B^x Ln (B).


We know (from the table above): Web 21 rows derivative sum rule. Web f'(x)= e^ x :

Web Enter The Function You Want To Find The Derivative Of In The Editor.


B is a constant and x is the variable,so differentiate with respect to x,not b. According to the sum rule: The derivative of fg = f g’ + f’ g.